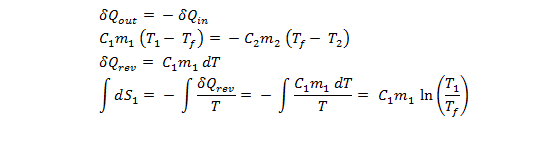
Suhu
Campuran dan Sistem Terisolasi
dapat Balik
1. Suhu
Campuran
2. Sistem Terisolasi
dapat Balik
1.
Sistem terisolasi
yang menglami proses dapat balik setimbang termodinamika
( S dianggap
maximum pada keadaan setimbang termodinamika pada sistem terisolasi
2.
Sistem yang
mengalami proses tidak dapat balik
3.
Proses reversible
bisa
tapi untuk tidak yang terisolasi.
è Pernyataan Clausius
Tidak ada proses dari suhu rendah ke
suhu tinggi
è Pernyataan Planck – Kelvin
Tidak ada proses
yang mungkin berupa aliran panas pada suatu proses seluruhnya menjadi usaha.





0 komentar:
Posting Komentar